|
Strukturen Highlights des AK Prof.Boche


Die Kristallstrukturen eines Lower-order- und eines "Higher-order"-Cyanocuprates:
[ tBuCu(CN)Li(OEt 2) 2]unendl. und [tBuCutBu{Li(thf)(pmdeta) 2CN}]
Gernot Boche, Ferdinand Bosold, Michael Marsch, Klaus Harms, Angew. Chem. 1998, 110, 1779-1781

Ein echtes Carbenoid
A.Müller, M.Marsch, K.Harms, J.C.W.Lohrenz and G.Boche
LiCHCl2.cntdot.3pyridine, structure of a carbenoid with a terahedral C atom
Angew.Chem. Int.Ed.Engl. 35, 1518-1520, (1996)

Ein Nitrenoid
G.Boche, C.Boie, F.Bosold, K.Harms and M.Marsch
[(N-Lithio-N-mesitylsulfonyloxy-tert-butylcarbamate)2·(THF)3]:
Crystal Structure of a Nitrenoide
Angew.Chem.Int.Ed. 33, 115, (1994)

Ein Arduengo Carben Analoges
Struktur des dimeren (4-tert-Butyl-thiazolato)(glyme)lithiums:
Carben-Charakter eines Formyl-Anion-Äquivalents
G.Boche, C.Hilf, K.Harms, M.Marsch und J.C.W.Lohrenz
Angew.Chem. 107 509-511 1995

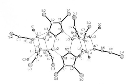
Erste Struktur eines lithierten Diazomethans
{6 Lithio(trimethylsilyl)diazomethane·2 Lithio[4,5-bis(trimethylsilyl)triazene]·7 Diethyl Ether}:
The First X-Ray Analysis of a Lithiated Diazoalkane
G.Boche, K.Harms, M.Marsch and F.Schubert
Chem.Ber. 127 2193-2195 1994

Ein Li-Cl Carbenoid
G.Boche, M.Marsch, A.Mueller und K.Harms
1-Chlor-2,2-bis(4-chlorphenyl)-1-lithioethen·TMEDA·2THF Struktur eines Li-Cl-Carbenoids
Angew.Chem 105, 1081, (1993)

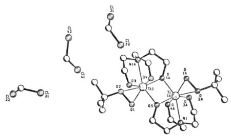
Ein Titan-Oxenoid
G.Boche, K.Möbus, K.Harms and M.Marsch
[((tert-Butylperoxo)titanatrane)2.3 Dichlormethane]:
X-Ray Crystal Structure and Oxidation Reactions
J.Am.Chem.Soc. 118, 2770-2771, (1996)
Die Plots wurden mit SCHAKAL92/SCHAKAL97 von Egbert Keller, Kristallographisches Institut der Universität Freiburg oder Diamond 2.1 (Crystal Impact) erzeugt.
Zurück zur Prof.Boche Seite oder Michael Marsch Berufsleben
|